library(tidyverse)
theme_set(theme_bw())
library(tidymodels) # parsnip + other tidymodels packages
# Helper packages
library(readr) # for importing data
library(broom.mixed) # for tidying Bayesian model output
library(dotwhisker) # for visualizing regression results
library(skimr) # for variable summariesML Workflow with tidymodels
1 Libraries
In this article we use the tidymodels ecosystem to illustrate a complete machine learning workflow in a tidy, coherent, and reproducible manner.
Throughout the article, we revisit the fundamental components of the ML workflow:
Data split → Feature engineering → Model specification → Model fitting → Model prediction → Model evaluation
We begin with the most basic workflow and later extend it using the recipe framework for more advanced preprocessing.
The material in this article is based on the case study provided at: https://www.tidymodels.org/start/case-study/. All exercises use the dataset included in that example.
The following packages are required:
2 Basic Model Building and Fitting
In this first chapter we focus on three steps:
- exploring the data
- specifying a model
- fitting the model to the data
2.1 Data
In this exercise we explore the relationship between:
- the outcome variable: sea urchin width
- feature 1: initial volume (continuous)
- feature 2: food regime (categorical)
A basic model for these variables can be written as:
width ~ initial_volume * food_regime## Data import ----------
df_Urchins <-
read_csv("https://tidymodels.org/start/models/urchins.csv") |>
setNames(c("food_regime", "initial_volume", "width")) |>
mutate(food_regime = factor(food_regime, levels = c("Initial", "Low", "High")))
## Explore the relationships ----------
ggplot(df_Urchins,
aes(x = initial_volume,
y = width,
group = food_regime,
col = food_regime)) +
geom_point() +
geom_smooth(method = lm, se = FALSE) +
scale_color_viridis_d(option = "plasma", end = .7)
2.2 Building the Model
We start with a simple linear regression model using linear_reg(). The tidymodels ecosystem separates model specification (what model we want) from the computational engine (how it is estimated). The parsnip package handles this abstraction.
Available engines for linear_reg() are listed here: https://parsnip.tidymodels.org/reference/linear_reg.html
- Choose the model type:
linear_reg()Linear Regression Model Specification (regression)
Computational engine: lm
- Choose the engine:
linear_reg() |>
set_engine("lm")Linear Regression Model Specification (regression)
Computational engine: lm
- Save the model specification:
mdl_Linear <- linear_reg()2.3 Training (Fitting) the Model
To train the model, we use the fit() function, which requires:
- the model specification
- a formula
- the training dataset
fit_Linear <-
mdl_Linear |>
fit(width ~ initial_volume * food_regime, data = df_Urchins)
fit_Linearparsnip model object
Call:
stats::lm(formula = width ~ initial_volume * food_regime, data = data)
Coefficients:
(Intercept) initial_volume
0.0331216 0.0015546
food_regimeLow food_regimeHigh
0.0197824 0.0214111
initial_volume:food_regimeLow initial_volume:food_regimeHigh
-0.0012594 0.0005254
We can inspect the fitted model coefficients:
tidy(fit_Linear)# A tibble: 6 × 5
term estimate std.error statistic p.value
<chr> <dbl> <dbl> <dbl> <dbl>
1 (Intercept) 0.0331 0.00962 3.44 0.00100
2 initial_volume 0.00155 0.000398 3.91 0.000222
3 food_regimeLow 0.0198 0.0130 1.52 0.133
4 food_regimeHigh 0.0214 0.0145 1.47 0.145
5 initial_volume:food_regimeLow -0.00126 0.000510 -2.47 0.0162
6 initial_volume:food_regimeHigh 0.000525 0.000702 0.748 0.457
2.4 Predicting with the Fitted Model
Once a model is fitted, we can use it for prediction. To make predictions we need:
- a dataset containing the feature variables (with matching names)
- the fitted model object
By default, predict() returns the mean prediction:
df_NewData <- expand.grid(
initial_volume = 20,
food_regime = c("Initial", "Low", "High")
)
pred_Mean <- predict(fit_Linear, new_data = df_NewData)
pred_Mean# A tibble: 3 × 1
.pred
<dbl>
1 0.0642
2 0.0588
3 0.0961
We can also request confidence intervals using type = "conf_int":
pred_Conf <- predict(
fit_Linear,
new_data = df_NewData,
type = "conf_int"
)
pred_Conf# A tibble: 3 × 2
.pred_lower .pred_upper
<dbl> <dbl>
1 0.0555 0.0729
2 0.0499 0.0678
3 0.0870 0.105
Below is a polished, academic, and clearly structured version of your entire section. I improved grammar, readability, terminology, explanations, and formatting. All original meaning is preserved, but now it reads like high-quality lecture notes.
Returned in markdown as requested.
3 Data Processing with recipes
The recipes package provides a structured and extensible framework for data preprocessing and feature engineering within the tidymodels ecosystem.
It allows us to define all preprocessing steps in a reproducible, model-agnostic workflow before model fitting.
3.1 Data
In this example we work with flight information from the United States (package nycflights13).
Our goal is to predict whether an arriving flight is late (arrival delay ≥ 30 minutes) or on time.
The modeling relationship can be summarized as:
arr_delay ~ (date, airport, distance, ...)library(nycflights13)
set.seed(123)
df_Flight <-
flights |>
mutate(
arr_delay = ifelse(arr_delay >= 30, "late", "on_time"),
arr_delay = factor(arr_delay),
date = lubridate::as_date(time_hour)
) |>
inner_join(weather, by = c("origin", "time_hour")) |>
select(dep_time, flight, origin, dest, air_time, distance,
carrier, date, arr_delay, time_hour) |>
na.omit() |>
mutate_if(is.character, as.factor)
df_Flight |>
skimr::skim(dest, carrier)| Name | df_Flight |
| Number of rows | 325819 |
| Number of columns | 10 |
| _______________________ | |
| Column type frequency: | |
| factor | 2 |
| ________________________ | |
| Group variables | None |
Variable type: factor
| skim_variable | n_missing | complete_rate | ordered | n_unique | top_counts |
|---|---|---|---|---|---|
| dest | 0 | 1 | FALSE | 104 | ATL: 16771, ORD: 16507, LAX: 15942, BOS: 14948 |
| carrier | 0 | 1 | FALSE | 16 | UA: 57489, B6: 53715, EV: 50868, DL: 47465 |
3.2 Data Split
As usual, we divide the dataset into training and validation sets. This allows us to fit the model on one portion of the data and evaluate performance on unseen observations.
Under the tidymodels framework:
initial_split()performs the random split.training()andtesting()extract the corresponding sets.
set.seed(222)
split_Flight <- initial_split(df_Flight, prop = 3/4)
df_Train <- training(split_Flight)
df_Validate <- testing(split_Flight)3.3 Creating a Recipe
3.3.1 Basical Recipe
A recipe in tidymodels is a structured, pre-defined plan for data preprocessing and feature engineering.
It allows us to declare, in advance, all the steps needed to transform raw data into model-ready features.
When creating a recipe, two fundamental components must be specified:
Formula (
~):
The variable on the left-hand side is the target/outcome, and the variables on the right-hand side are the predictors/features.Data:
The dataset is used to identify variable names and types. At this stage, no transformations are applied.
# Create a basic recipe
rcp_Flight <- recipe(arr_delay ~ ., data = df_Train)Using . on the right-hand side indicates that all remaining variables in the dataset should be used as predictors.
3.3.2 Roles
In addition to the standard roles (outcome and predictor), recipes allows defining custom roles using update_role().
Common roles include:
predictor: variables used to predict the outcomeoutcome: target variableID: identifiers not used for modelingcase_weights: observation weightsdatetime,latitude,longitude: for temporal or spatial feature engineering
rcp_Flight <-
recipe(arr_delay ~ ., data = df_Train) |>
update_role(flight, time_hour, new_role = "ID")
summary(rcp_Flight)# A tibble: 10 × 4
variable type role source
<chr> <list> <chr> <chr>
1 dep_time <chr [2]> predictor original
2 flight <chr [2]> ID original
3 origin <chr [3]> predictor original
4 dest <chr [3]> predictor original
5 air_time <chr [2]> predictor original
6 distance <chr [2]> predictor original
7 carrier <chr [3]> predictor original
8 date <chr [1]> predictor original
9 time_hour <chr [1]> ID original
10 arr_delay <chr [3]> outcome original
3.4 Feature Engineering with step_*
3.4.1 Date Features
Feature engineering transforms raw data into model-ready variables. recipes expresses each transformation as a step_*() function.
Below, we extract:
- day of week (
dow) - month
- holiday indicators (using U.S. holidays)
rcp_Flight <-
recipe(arr_delay ~ ., data = df_Train) |>
update_role(flight, time_hour, new_role = "ID") |>
step_date(date, features = c("dow", "month")) |>
step_holiday(
date,
holidays = timeDate::listHolidays("US"),
keep_original_cols = FALSE
)This replaces the original date with engineered calendar features.
3.4.2 Categorical Variables (Dummy Encoding)
Most models require converting categorical variables into dummy/one-hot encoded predictors. recipes provides:
step_novel(): handles unseen factor levels at prediction timestep_dummy(): converts categorical predictors into numerical dummy variables
rcp_Flight <-
recipe(arr_delay ~ ., data = df_Train) |>
update_role(flight, time_hour, new_role = "ID") |>
step_date(date, features = c("dow", "month")) |>
step_holiday(
date,
holidays = timeDate::listHolidays("US"),
keep_original_cols = FALSE
) |>
step_novel(all_nominal_predictors()) |>
step_dummy(all_nominal_predictors())3.4.3 Removing Zero-Variance Predictors
Predictors with constant values provide no information and may cause issues in some algorithms. We remove them using step_zv():
rcp_Flight <-
recipe(arr_delay ~ ., data = df_Train) |>
update_role(flight, time_hour, new_role = "ID") |>
step_date(date, features = c("dow", "month")) |>
step_holiday(
date,
holidays = timeDate::listHolidays("US"),
keep_original_cols = FALSE
) |>
step_novel(all_nominal_predictors()) |>
step_dummy(all_nominal_predictors()) |>
step_zv(all_predictors())3.5 Combining the Recipe with a Model
3.5.1 Workflow Definition
A workflow allows bundling:
- the recipe (preprocessing)
- the model (statistical/ML algorithm)
mdl_LogReg <-
logistic_reg() |>
set_engine("glm")
wflow_Flight <-
workflow() |>
add_model(mdl_LogReg) |>
add_recipe(rcp_Flight)3.6 Model Fitting
We can now train the full preprocessing + modeling pipeline using fit():
fit_Flight <-
wflow_Flight |>
fit(data = df_Train)Inspect model coefficients:
fit_Flight |>
extract_fit_parsnip() |>
tidy()# A tibble: 157 × 5
term estimate std.error statistic p.value
<chr> <dbl> <dbl> <dbl> <dbl>
1 (Intercept) 7.28 2.73 2.67 7.64e- 3
2 dep_time -0.00166 0.0000141 -118. 0
3 air_time -0.0440 0.000563 -78.2 0
4 distance 0.00507 0.00150 3.38 7.32e- 4
5 date_USChristmasDay 1.33 0.177 7.49 6.93e-14
6 date_USColumbusDay 0.724 0.170 4.25 2.13e- 5
7 date_USCPulaskisBirthday 0.807 0.139 5.80 6.57e- 9
8 date_USDecorationMemorialDay 0.585 0.117 4.98 6.32e- 7
9 date_USElectionDay 0.948 0.190 4.98 6.25e- 7
10 date_USGoodFriday 1.25 0.167 7.45 9.40e-14
# ℹ 147 more rows
3.7 Prediction
Once fitted, the workflow can be used to generate predictions:
pred_Flight <- predict(fit_Flight, df_Validate)For evaluation we need both class predictions and class probabilities:
pred_Flight <-
predict(fit_Flight, df_Validate, type = "prob") |>
bind_cols(predict(fit_Flight, df_Validate, type = "class")) |>
bind_cols(df_Validate |> select(arr_delay))3.8 Evaluation
pred_Flight |>
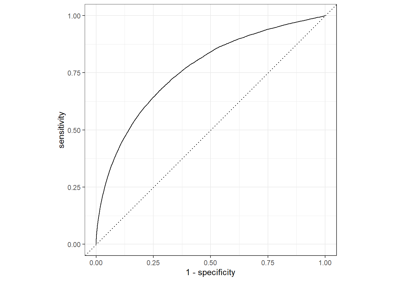
roc_auc(truth = arr_delay, .pred_late)# A tibble: 1 × 3
.metric .estimator .estimate
<chr> <chr> <dbl>
1 roc_auc binary 0.764
pred_Flight |>
accuracy(truth = arr_delay, .pred_class)# A tibble: 1 × 3
.metric .estimator .estimate
<chr> <chr> <dbl>
1 accuracy binary 0.849
aug_Flight <- augment(fit_Flight, df_Validate)
aug_Flight |>
roc_curve(truth = arr_delay, .pred_late) |>
autoplot()
3.9 Clean Version of the Code
set.seed(222) # Set seed for reproducibility
# Split the data into 75% training and 25% validation
split_Flight <- initial_split(df_Flight, prop = 3/4)
df_Train <- training(split_Flight) # Extract training set
df_Validate <- testing(split_Flight) # Extract validation set
# -------------------------------
# Create a preprocessing recipe
# -------------------------------
rcp_Flight <-
recipe(arr_delay ~ ., data = df_Train) |> # Define target and predictors
update_role(flight, time_hour, new_role = "ID") |> # Assign ID role to identifier columns
step_date(date, features = c("dow", "month")) |> # Extract day of week & month from date
step_holiday(
date,
holidays = timeDate::listHolidays("US"),
keep_original_cols = FALSE
) |> # Add holiday indicator features
step_novel(all_nominal_predictors()) |> # Handle new factor levels in prediction
step_dummy(all_nominal_predictors()) |> # Convert categorical predictors to dummy variables
step_zv(all_predictors()) # Remove predictors with zero variance
# -------------------------------
# Define the logistic regression model
# -------------------------------
mdl_LogReg <-
logistic_reg() |>
set_engine("glm") # Use generalized linear model as backend
# -------------------------------
# Combine recipe and model into a workflow
# -------------------------------
wflow_Flight <-
workflow() |>
add_model(mdl_LogReg) |>
add_recipe(rcp_Flight)
# -------------------------------
# Fit the workflow on the training data
# -------------------------------
fit_Flight <-
wflow_Flight |>
fit(data = df_Train)
# -------------------------------
# Predict on the validation set (class labels)
# -------------------------------
pred_Flight <- predict(fit_Flight, df_Validate)
# -------------------------------
# Predict on validation set (probabilities and class labels)
# -------------------------------
pred_Flight <-
predict(fit_Flight, df_Validate, type = "prob") |> # Predicted probabilities
bind_cols(predict(fit_Flight, df_Validate, type = "class")) |> # Predicted classes
bind_cols(df_Validate |> select(arr_delay)) # Add true labels for evaluation
# -------------------------------
# Evaluate model performance
# -------------------------------
pred_Flight |>
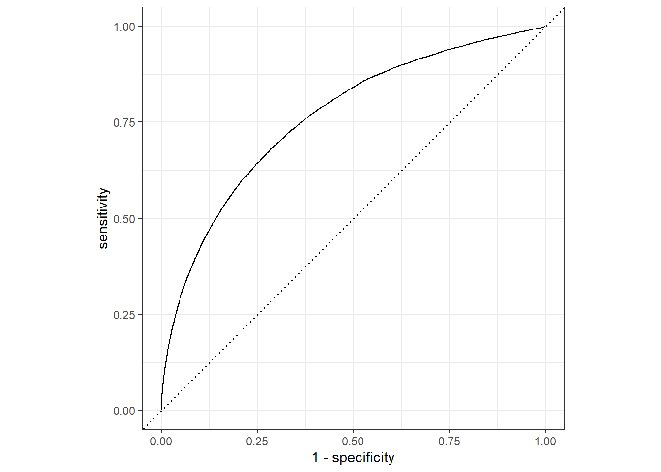
roc_auc(truth = arr_delay, .pred_late) # ROC AUC for "late" class# A tibble: 1 × 3
.metric .estimator .estimate
<chr> <chr> <dbl>
1 roc_auc binary 0.764
pred_Flight |>
accuracy(truth = arr_delay, .pred_class) # Classification accuracy# A tibble: 1 × 3
.metric .estimator .estimate
<chr> <chr> <dbl>
1 accuracy binary 0.849
# -------------------------------
# Visualize ROC curve
# -------------------------------
aug_Flight <- augment(fit_Flight, df_Validate) # Add predictions and residuals to dataset
aug_Flight |>
roc_curve(truth = arr_delay, .pred_late) |> # Compute ROC curve
autoplot() # Plot ROC curve
4 Evaluate model with resamples
4.1 Evalute both trning- and validate- dataset
the fited model can run for both datset, after predict we canlaos use the functon roc_auc or accuracy to test the model perfomence, for the both indictaors, bigger values means the better perfomence:
library(modeldata)
# Dataset ---------
## split -----------
set.seed(123)
split_Cell <- initial_split(modeldata::cells |> select(-case),
strata = class)
df_Train_Cell <- training(split_Cell)
df_Validate_Cell <- testing(split_Cell)
# Model ------------
## build -----------
mdl_RandomForest <-
rand_forest(trees = 1000) |>
set_engine("ranger") |>
set_mode("classification")
## fit --------
set.seed(234)
fit_RandomForest <-
mdl_RandomForest |>
fit(class ~ ., data = df_Train_Cell)
fit_RandomForestparsnip model object
Ranger result
Call:
ranger::ranger(x = maybe_data_frame(x), y = y, num.trees = ~1000, num.threads = 1, verbose = FALSE, seed = sample.int(10^5, 1), probability = TRUE)
Type: Probability estimation
Number of trees: 1000
Sample size: 1514
Number of independent variables: 56
Mtry: 7
Target node size: 10
Variable importance mode: none
Splitrule: gini
OOB prediction error (Brier s.): 0.1187479
## predict -------
pred_Train_Cell <-
predict(fit_RandomForest, df_Train_Cell) |>
bind_cols(predict(fit_RandomForest, df_Train_Cell, type = "prob")) |>
# Add the true outcome data back in
bind_cols(df_Train_Cell |>
select(class))
pred_Validate_Cell <-
predict(fit_RandomForest, df_Validate_Cell) |>
bind_cols(predict(fit_RandomForest, df_Validate_Cell, type = "prob")) |>
bind_cols(df_Validate_Cell |> select(class))
## performence --------
pred_Train_Cell |> # training set predictions
roc_auc(truth = class, .pred_PS)# A tibble: 1 × 3
.metric .estimator .estimate
<chr> <chr> <dbl>
1 roc_auc binary 1.000
pred_Train_Cell |> # training set predictions
accuracy(truth = class, .pred_class)# A tibble: 1 × 3
.metric .estimator .estimate
<chr> <chr> <dbl>
1 accuracy binary 0.990
pred_Validate_Cell |> # test set predictions
roc_auc(truth = class, .pred_PS)# A tibble: 1 × 3
.metric .estimator .estimate
<chr> <chr> <dbl>
1 roc_auc binary 0.891
pred_Validate_Cell |> # test set predictions
accuracy(truth = class, .pred_class)# A tibble: 1 × 3
.metric .estimator .estimate
<chr> <chr> <dbl>
1 accuracy binary 0.814
The nomal split-method show the stong differnec btewen tring dataset and the validate dataset. This is a nomal phonome by the data-foring model, it will “overfit” the trning data but not good perfomence in new dataset. this is aslo the resone, we ned some stragy to avoid the splingting method.
4.2 resampling
the cross-validation method will split trning datset into several resamplr group (fold), adn th subgroup will continue split into traning-part and testing-part (assessment).
set.seed(345)
folds_Cell <- vfold_cv(df_Train_Cell, v = 10)
wflow_CrossValidate <-
workflow() |>
add_model(mdl_RandomForest) |>
add_formula(class ~ .)
set.seed(456)
fit_CrossValidate <-
wflow_CrossValidate |>
fit_resamples(folds_Cell)
collect_metrics(fit_CrossValidate)# A tibble: 3 × 6
.metric .estimator mean n std_err .config
<chr> <chr> <dbl> <int> <dbl> <chr>
1 accuracy binary 0.833 10 0.00876 Preprocessor1_Model1
2 brier_class binary 0.120 10 0.00406 Preprocessor1_Model1
3 roc_auc binary 0.905 10 0.00627 Preprocessor1_Model1
compare to the nomal firtng, there si a spcail fit_resamples() function for the resampling methos.